
1、賽多利斯YDK01-C密度套件
YDK01-C儀器應用范圍
此YDK01_C儀器適用于賽多利斯公司出品的BSA系列精度為0.1mg和1mg的天平。
在使用本儀器之前,請認真通讀本操作說明書。
應用原理
使用此儀器可以配合BSA系列天平的程序,確定固體樣品的密度。
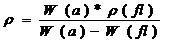
適用阿基米德定律應用的公式:
ρ =固體樣件的密度
ρ(fl)=浮力液體的密度
W(a)=固體樣件在空氣中的重量
W(fl)= 固體樣件在液體中的示值
2、賽多利斯YDK03密度測定套件
YDK03 密度測定套件可用于下列天平:
- Secura®、Quintix®、Practum®,可讀性為 1 毫克或 0.1 毫克
- BSA 天平,可讀性為 0.1毫克
- CPA 天平,可讀性為 0.1毫克
- Entris 天平,可讀性為 0.1毫克
- 可確定固體、液體的比重/密度